
where got liddat wansOriginally posted by limywv:it should be
integrate(3-2x^2)^0.5
= -2/6(3-2x^2)^1.5 + c
=-1/3 (3-2x^2)^1.5 + c



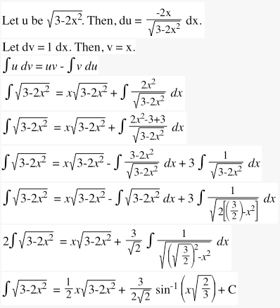
confirm not.Originally posted by teraexa:I would try integrating by parts.

told you liao =)Originally posted by club18:confirm not.

lol. Thanks. I was careless for both the substitution part and by parts. My maths is really rusty after not practising for 2 yrs.Originally posted by ^tamago^:tanjun i was there but i gave up eventually. good one.![]()
Mine also. This one requires a bit of inconventional thinking and really caught me by surprise.Originally posted by tanjun:lol. Thanks. I was careless for both the substitution part and by parts. My maths is really rusty after not practising for 2 yrs.
yeah. havent take leh.Originally posted by Hocklez:tamago still taking a lvl meh?
..... i thought taken last yr already...Originally posted by ^tamago^:yeah. havent take leh.![]()
![]()
![]()
I dont think you can solve this question by integration by parts.Originally posted by Yaimster:Integration through the use of our own substitution is no longer in the H2 Maths syllabus. They would give you explicit hints to solve for that.
So definately integration by parts for me![]()
tamago has done it using by partsOriginally posted by HyuugaNeji:I dont think you can solve this question by integration by parts.
thanks...nowsaday my maths kns already.Originally posted by eagle:tamago has done it using by parts
check above posts
