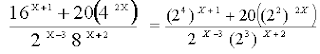
(b) Simplify

*************************
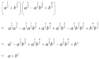
Answer:(a)

(b)


On behalf of Ahm97sic
Example 1




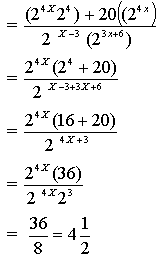
Example 3
Looks like A maths one.......
Hi Eagle,
Thanks for the help to post "O" level Add Maths Indices in the forum. I do not know how to type/post the formula and mathematical symbols in the forum.
Dear Eagle will help to post the 5 patterns in the actual "O" level Add Maths on indices with 5 examples and one example for one pattern. This will be followed by the actual "O" level Add Maths Indices exam questions arranged according to these 5 patterns.
Hope this will be of help to Add Maths students who will be taking their "O" level exam.
Many thanks to Eagle for the help.
Thank you for your kind attention.
Regards,
ahm97sic
updated with more examples... left 1 to go...