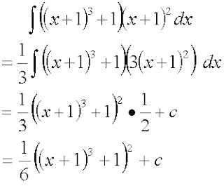
y = (x + 1)^3
dy/dx = 3(x + 1)^2
The 3(x + 1)^2 is the derivative of (x + 1)^3, you just need to prefix a "3" in front, so to cancel out the 3, you do a 1/3.
Differentiation product rule, chain rule also can
:
u = x - (sin x)^2
u' = 1 - 2 sin x cos x
u' = 1 - sin 2x ===>>> (sin 2x = 2 sin x cos x) aka double angle formula
Integrate [1/u] du = ln u + c (I cannot do the integral sign) ![]()
Then all you have to do is slot in "u" into "ln u + c":
===>>> ln (x - (sin x)^2) + c
I just learnt this just now. ![]()
thanks for helping to explain
Am glad something new is learned :D
Just realised that there is something wrong with your answer for question 2.
It should be ln |x - (sin x)^2| + c
It should be the absolute value.